色差有多种含义,但是在色度学中,色差一般是指两个色源在视觉上给人的颜色差异,可以用颜色三属性的差异来表示。这种色差现象可以通过颜色测量仪器,定量的对颜色进行表述,一般用符号△E表示。本文对色差仪△E评定方法及单位做了介绍。

色差的含义介绍:
色差有三个意思:
1.各种波长的光将以不同的程度而色散
白光被色散为紫外波段、可见波段的和红外波段范围的各种波长的光,通过透镜时所成的像便带有彩色边缘,即为色差。色差仪的测试原理也是通过光的变化来做理论依据的,最早的色差仪就是根据光学的三刺激值原理研发的。光学系统的实际成像与理想成像的差别,统称为像差。色差是像差中的一种,是因透射材料的透射率随波长不同而不同造成的,故只有对多色光才显现出来。
2.定量表示的色知觉差异
从明度、色调和彩度这三种颜色属性的差异来表示。明度差表示深浅的差异,色调差表示色相的差异(即偏红或偏蓝等),彩度差表示鲜艳度的差异。色差的评定在工业和商业中非常重要,主要应用于生产中的配色和产品的颜色质量控制。现代色差评定根据国际照明协会(CIE)推荐的标准色差公式并色差仪器和电脑测量计算,用精确的数字来表示。常用如CIE 1976L*a*b*和CIE 1976L*u*v*色差公式等。
3.样品颜色之间的差异
例如:染同一颜色的革,其批与批之间出现颜色不一致,或者同一转鼓、同一次染色的革出现几种颜色差别的现象称为色差。特别是绒面革更易出现色差。可指同一张皮革不同部位的色泽差别,也可指同一批加工皮革之间存在的颜色差异,还可指原定染同一颜色之不同批次皮革间的颜色差别。所以染色行业对色差的要求很高,也是色差仪应用较广泛的行业。
色差△E评定方法:
1.色差目视评定方法
对于两个颜色之间差别的视觉判断,主要有两种直观的评价,即可感知性(perceptibility)和可接受性(acceptability)。可感知性是指观察者能够看到颜色的差别或能够判断两个颜色样品对之间色差的人小的视觉属性;而可接受性则表示观察者是否可以接受被观察颜色差别的视觉判断。
目视比较和判断具有较大的主观性和易变性,在工业生产中不直接作为颜色质的评价依据。因此,仪器测色显得尤为重要。但是,物理测量的数据应该能预测观察者所看到的情况,即需要有合适的色差公式,使之计算出来的色差能够预测目视色差。
2.色差公式评定方法
两带色样品间的颜色在颜色知觉上的差异可用“色差”来表示。1976年以来,出现了多种色差公式如CMC(1:c)色差公式,CIE1976(△L*△Cab*△Hab*)色差模型、CIE DE2000色差公式、CIE1976(L*a*b*)色差公式等。其中CIE 1976(L*a*b*)色差公式是国际上公认的色差公式。色差包括明度差、彩度差和色相差三个方面。我们常说的色差是这三方面色差经一定公式计算后得出的总色差值。
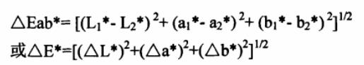
在与颜色感觉一致的均匀颜色空间内,两个颜色样品之间的色差表示为其坐标点之间的距离,即:

式中,L1*,a1*,b1*和L2*,a2*,b2*分别是两个样品的坐标值。色差公式的几何意义,是在均匀颜色空间以标准色样的坐标点为中心的一个椭球,其在L*、a*、b*三个方向的半轴长分别为(L1*-L2*)、(a1*-a2*)和(b1*-b2*)。若规定椭球内的颜色满足色差容限的要求,则椭球外的颜色与标准色样的色差超出了色差容限范围,便不满足色差的要求。
色差△E评定影响因素:
色差是指样品与标准样品在颜色上的彩度差、明度差和色相差的综合表现。在工业生产中所涉及的色差是指两个样品颜色的接近程度。在研究过程中,色差的测量和评价需要大量的数据进行对比分析,影响色差的因素主要有以下三种。
1.研究过程中的客观因素
主要是取样点的选取、不同研究人员对同种色差的判别、所使用的光源以及照明角度,研究室条件以及样品的自身性质等。
2.样品色差的检测标准不同
如今工业和研究机构将色差主要分为两类,一类是可感知色差,主要用于在塑料工业中对样品做基本的检测;另一类是可接受的色差,主要用在实际工业生产中,对样品进行全面分析。
3.不均匀的颜色空间
实验研究过程中,只能使颜色空间尽可能的均匀,目前还不存在绝对均匀地颜色空间。因为不同的实验人员对颜色的色相和亮度的敏感程度不同,所以在进行色差的检测过程中会出现不同程度的误差。
色差△E的单位:
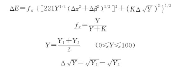
作为色差的计算单位,以前常用NBS(National Bureau of Standards),它与视觉之间的关系见下表。

这一色差单位是以贾德(Judd)—亨特(Hunter)建立起来的色差计算公式的单位为基础推出来的,贾德最先建立起UCS色度图,这个色度图在很长一段时间内是美国色度计算的基础,然而在三角坐标中处理很不方便,后来斯科菲尔德(Scofeld)—贾德—亨特把它转换成了a—β色度图,该系统与x—y色度坐标之间的转换关系为:

利用这一色度坐标可按下式计算色差。

式中:K——光泽影响系数,测定纺织品时,K=10(受观测条件的影响)。一般在普通实验室中,有光泽的面取K=2.5,无光泽的面,取K=0,半光泽的面,取K=1。fg——调整系数。
用这一色差式计算的色差单位为NBS单位,NBS单位曾被作为所有色差计算公式的单位,并且延续了很长一段时间。20世纪70年代以后,大量色差式相继出现,一律采用相同的标准计算单位既不可能,也没有必要。所以,就采取了标注计算公式的方法。如△ECMC、△ECIE等,不再使用NBS单位。

