我们在讨论光源的色温概念时,为了对其进行更好的理解,经常会涉及到与之相关的相关色温和分布温度的概念,相关色温和分布温度都是从色温引申出来的概念。那么,光源相关色温和分布温度怎么理解?什么关系?本文对此做了简要的介绍。

光源相关色温:
如果一个光源发射光的颜色(即光源色)与某一温度下的黑体发射光的颜色(即色品)相同,那么,此时黑体的绝对温度值就叫做该光源的颜色温度(简称色温)。黑体发射光的相对光谱功率分布由普朗克定律给出:

式中T为黑体的绝对温度;λ为波长;C1为第一辐射常数,C1=3.7417749x10-16w·m2;C2为第二辐射常数,C2=1.4388 x10-2m·K。
当光源发射光的颜色和黑体不相同时,我们用“相关色温”的概念来描述光源的颜色。相关色温的定义是:在某一确定的均匀色度图中,如果一个光源与某一温度下的黑体具有最接近的色品,此时黑体的绝对温度值就叫做光源的相关色温。
从查图计算可以看出,当表示光源的光源色坐标点落在黑体轨迹上时,说明该光源的光源色与某一温度下的黑体的光源色相同。计算出的就是光源的色温值。反之,当表示光源的光源色坐标点落在黑体轨迹以外时,计算出的就是光源的相关色温值。并且,当表示光源的色坐标点(u,v)在u-v图中偏离黑体轨迹越远,相关色温的概念越弱。
光源分布温度:
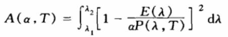
分布温度的定义是:在某一波长范围内[λ1,λ2],如果一个光源发出的辐射与某一温度下的黑体有最接近的相对光谱功率分布,那么,此时黑体的绝对温度就叫做该光源在该波长范围内的分布温度。分布温度的数学表达式为:

其中E(λ)是被测光源的相对光谱辐射功率分布;P(λ,T)是黑体的光谱辐射功率分布;α是一个调整常数。选取适当的α、T值,使得上式的积分值最小,此时的T即为所求的被测光源的分布温度值。分布温度的计算方法见其它参考文献,在此不作详细的介绍。
光源相关色温和分布温度关系:
光源的色温和分布温度实际上是两个完全不同的概念。对于分布温度,不仅在可见光区,而对红外区,紫外区也可能有意义,对色温则只在可见光区有意义。
光源的分布温度在相当程度上表征了光源的相对光谱辐射功率分布,而相关色温与光源的相对光谱辐射功率分布的相关性较之分布温度要小得多。分布温度不涉及人的任何生理特性,是一个纯粹的物理量。而相关色温的定义中包括了人眼的视觉特性,是相对于标准色觉观察者而言的。
一般地讲,光源的色温和可见光区的分布温度在数值上是不同的,下文列出了几种典型光源的相关色温和分布温度值:
钨带灯:相关色温2060K;分布温度2055K;
螺旋钨丝灯:相关色温2032K;分布温度2030K;
碘钨灯:相关色温3048K;分布温度3089K;
B光源:相关色温4874K;分布温度4651K;
C光源:相关色温6774K;分布温度6215K;
D65昼光:相关色温6504K;分布温度6205K;
E光源:相关色温5455K;分布温度5512K;
氙弧:相关色温5689K;分布温度5493K;
碳弧:相关色温6344K;分布温度6512K。
从上可以看出,CIE标准光源B,C,E,D65、氙弧,碳弧等,它们的相关色温和分布温度值有相当大的区别、这是因为它们的相对光谱能量分布与黑体的有较大的差异。然而象白炽钨丝灯这样一类的光源,由于它的相对光谱能量分布与黑体的相差很小,因而它的相关色温值与可见区的分布温度相差也很小(碳,钨灯除外),一般差别在2——5K左右。事实上,由于光谱能量分布测量误差的存在,要区分这个差别也是没有意义的。

