CIELab色差公式和CIELuv色差公式是色差仪中比较常见的色差公式,前者的简称为ΔE*ab,后者的简称为ΔE*uv,它们都是基于CIE规定的均匀颜色空间发展起来的色差公式。本文对色差仪CIELab色差公式和CIELuv色差公式做了介绍。

色差仪CIELab色差公式介绍:
1.色差仪CIELab颜色空间
CIELab颜色空间是CIE1976L*a*b*颜色空间的简称,在CIELab色空间中,L*表示明度,a*和b*表示色度。a*和b*表示不同的色调方向:a*为红-绿色方向,a*为正时表示的是红色方向,a*为负时表示的是绿色方向;b*为黄-蓝色方向,b*为正时表示的是黄色方向,b*为负时表示的是蓝色方向。CIELab颜色空间考虑了心理颜色的特点。CIELab在三维色空间的各个坐标轴上均具有视觉和颜色心理感知的等距性,并且细分了明度坐标和色品坐标的级差。同时,CIELab空间中当颜色的色差大于视觉的识别阅值(恰可察觉)而又小于孟塞尔系统中相邻两级色差时,可以较好地反映物体色的心理感受效果。
2.色差仪CIELab色差公式
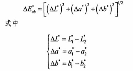
CIELab色差公式是建立在CIELab颜色空间之上的,在CIELab颜色空间中,两个颜色(L1*,a1*,b1*)和(L2*,a2*,b2*)之间的色差可以用欧氏距离来表示:

其中L*是CIELAB空间的明度值,a*,b*为色品坐标,△L*、△a*和△b*分别是CIELAB空间中三个标尺的差值。
色差△E*ab,也可以用明度差△L*、彩度差△C*ab色调差△H*ab定义,即:

可以看出CIELab公式中的△E*ab取自三坐标值均匀分布。通过使用一个均匀的色空间来表示颜色,在该色空间中,明度L及色度a和b均被认为是均匀变化的。虽然色差的计算公式基于人眼对色彩的视觉感官来定义,但是对于一些色彩的评估,人眼的敏感度和△E之间还是有些差异,因为人眼对色差的辨别能力及范围与CIE Lab定义的△E*ab和△a*b*是有很大差异的。虽然CIELAB色差公式对中小色差的预测性能与目视观察结果之间存在较大差异,但相对于其后的一些色差公式而言,其表达式极为简单,并且对大色差尚有较好的预测性能,因此在现今工业生产中仍被广泛采用。
色差仪CIELuv色差公式介绍:
1.色差仪CIELuv颜色空间
CIELuv颜色空间是CIE1976L*u*v*颜色空间的简称,在CIELuv空间中,L*为明度,u*、v*为色品指数。三者相互垂直构成色空间来描述相对应的亮度和色度量:垂直的轴是明度L*,位于水平面且互相垂直的是色品指数 u*和 v*。CIELuv均匀颜色空间用三维坐标系统明度指数L*和色品指数u*、v*来表示颜色,引入了更优化的算法。该色度空间保留了马蹄形曲线的光谱轨迹,比较适合于对光谱原色,彩色视觉等工业部门作为研究工具。不足的是颜色在知觉上的均匀性未周全考虑。因为颜色是一种知觉上的心理颜色。
2.色差仪CIELuv色差公式
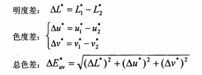
CIELuv色差公式是建立在CIELuv颜色空间之上的,在CIELuv颜色空间中,若两个色样样品都按L*、u*、v*来标定颜色,则两者之间的总色差△E*uv以及各项单项色差可用下列公式计算:

式中,ΔE*uv是两个颜色的色差;△L*,△u*,△v*是两个颜色相应量的差。

