CIELAB颜色空间是一个均匀的颜色空间,是目前各类颜色测量仪器中最为常见的一类颜色空间,该颜色空间用三个变量来表示颜色,且以空间之间的几何距离来表示颜色之间的差异值。那么,CIELAB颜色空间是怎么表示颜色差异值△E的?下文将为大家进行解答。

CIELAB颜色空间L、A、B值含义:
CIELAB颜色空间是CIE于1976年提出的一个均匀颜色空间,该颜色空间旨在感知上统一,这就意味着映射颜色之间的空间距离与它们的视觉差异相对应。
CIELAB颜色空间由明度L、色度坐标a和色度坐标b三个变量构成。其中数值a代表红绿相,正值代表颜色偏红,负值代表颜色偏绿,0为中性。数值b代表黄蓝相,正值代表颜色偏黄,负值代表颜色偏蓝,0为中性。数值L代表样板的明度,数值0代表黑,数值100代表白。
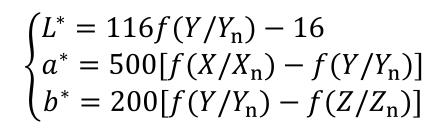
CIELAB颜色空间能呈现非常丰富的颜色,它所对应的L、a、b值可以通过CIEXYZ颜色空间的值来计算。具体的计算公式如下:

式中:L*——表示明度值;a*——表示红、绿色度值;b*——表示黄、蓝色度值;X、Y、Z——表示物体颜色的三刺激值;Xn、Yn、Zn——表示理想白色物体的三刺激值;X/Xn、Y/Yn和Z/Zn的值要大于 0.008856,若小于此值,则不适用于上述公式。
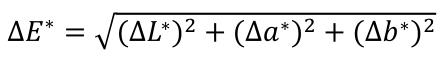
CIELAB颜色空间表示颜色差异值△E的的方法:
在CIELAB颜色空间中,若以两点之间的距离来表示颜色之间的差异,则CIELAB色差公式如下所示:

式中:△E*——表示测试样板与目标样板间的色差值;△L*——表示测试样板与目标样板间的明度差;△a*——表示测试样板与目标样板间的红/绿色度差;△b*——表示测试样板与目标样板间的黄/蓝色度差。
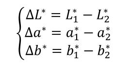
假设测试样板的编号为1,目标样板的编号为2,则测试样板与目标样板间的明度差和色度差计算公式如下:

式中:L*——表示样板的明度值;a*——表示样板的红/绿色度值;b*——表示样板的黄/蓝色度值。
通过计算,可通过明度差和色度差来分析两个颜色存在的色差。当测试样板与目标样板相比显得颜色更浅(偏白)时,明度差△L*将为正值,当测试样板与目标样板相比颜色显得更深(偏黑)时,明度差△L*将为负值。当测试样板与目标样板相比颜色显得偏红时,红/绿色度差△a*将为正值,当测试样板与目标样板相比颜色显得偏绿时,红/绿色度差△a*将为负值。当测试样板与目标样板相比颜色显得偏黄时,黄/蓝色度差△b*将为正值,当测试样板与目标样板相比颜色显得偏蓝时,黄/蓝色度差△b*将为负值。

