光电测色仪是仿照人眼感色的原理原理制成的,仪器的总光谱灵敏度必须符合卢瑟条件,卢瑟条件是校正滤色器设计的基础。那么,什么是卢瑟条件?卢瑟条件怎么修正?本文对卢瑟条件及卢瑟条件修正方法做了介绍。

什么是卢瑟条件?
光电测色仪是仿照人眼感色的原理制成的,采用了能感觉红、绿、蓝三种颜色的受光器,将各自所感受光电的光电流加以放大处理,得出各色的刺激量,从而获得这一颜色信号。这里使用的受光器是在可见光的波段中,具有平坦的感受特性的光电二极管(硅系)和能平坦地修正光谱敏感度特性的滤色器和能调整到符合人眼色觉的滤色镜。这里重要的是三块滤色镜能符合人眼的色觉程度,这种相互一致的条件称为卢瑟条件。
卢瑟条件怎么修正?
卢瑟条件最常用的修正方法是预先准备颜色稳定的若干色板作为标准色,用最接近式样颜色的色板进行测定并根据光电测色仪的测定值,与用分光光度计预先求得的标准差值进行修正。在光电测色仪上接上专用计算机,预先准备在各波段中修正卢瑟条件的程序,可以使工作效率提高,复杂程度减少,同时将各个滤色镜进行修正。物体在10°视场、D65光源照射下,物体颜色三刺激值X、Y、Z的计算式为:

设计三组接收器使它模拟人眼的X、Y、Z三个感光机构,把人眼所接受的刺激用三组接收器所产生的光电流表示,则可以确定物体的颜色。在用某测色系统中,光源S(λ)按照一定的角度照射物体,用光电元件和滤色器配合的接收器在一定方向接收,则接收器上产生对应的光电流:

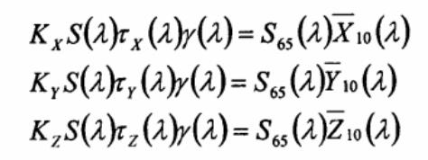
式中:τX(λ)、τY(λ)、τZ(λ)仪器特定滤色器的光谱透过率;γ(λ)仪器探测器的相对光谱响应度。比较颜色三刺激值计算式,如果满足下列条件即卢瑟条件(Luther condition):

式中Kx、Ky、Kz是与波长无关的常数,则测色仪的总灵敏度特性与CIE规定的标准观察者的X、Y、Z一致,物体颜色三刺激值正比于光电流数值。
仪器符合卢瑟条件的完善程度,决定了仪器的测量精度。为了减少由于卢瑟条件不够满足而导致的测色误差,应为仪器配备适当的专用工作色板,用来分别校正仪器。对于满足卢瑟条件的仪器,仅配上工作白板即可。而对于偏离卢瑟条件较严重的仪器,应配足能覆盖相应测色范围的专用工作色板。

