色差是从色差测量中获得的一个数值,用于表示两个色彩之间的差异程度,一般用ΔE表示。本文对色差ΔE值的计算、单位及范围做了简要的介绍,以帮助大家对色差△E值有所了解。

色差△E值的计算:
色差ΔE值是用于衡量两个颜色之间差异程度的一个重要指标,是基于CIELAB颜色空间计算得出的。ΔEab表示两个颜色在CIELAB空间中的欧氏距离,反映人眼对颜色差异的感知程度。数值越小,颜色差异越小;数值越大,差异越明显。一般来讲,从拿到颜色样品到根据计算结果做出客观色差评价,大致需以下三个步骤:
1.确定两个色样在CIELab颜色空间中的坐标值
设第一个颜色样本的坐标值为L*1、a*1、b*1,分别表示明度、红绿色度、黄蓝色度。设第二个颜色样本的坐标值为L*2、a*2、b*2,分别表示明度、红绿色度、黄蓝色度。
2.计算明度差ΔL*、红绿色度差Δa*、黄蓝色度差Δb*
明度差ΔL*=L*2-L*1,表示两个颜色在明亮程度上的差异。红绿色度差Δa*=a*2-a*1,正值表示第二个颜色更偏红,负值表示更偏绿。黄蓝色度差Δb=b*2-b*1,正值表示第二个颜色更偏黄,负值表示更偏蓝。
3.计算总色差值ΔE*ab
根据公式ΔE*ab=[(ΔL*)2+(Δa*)2+(Δb*)2]1/2,将前面计算得到的ΔL*、Δa*、Δb代入该公式,通过平方、相加后再开方的运算,得到两个颜色在CIELab颜色空间中的色差值。这个色差值ΔE*ab的数值大小直观地反映了两个颜色之间的总体差异程度,数值越小,表示两个颜色越接近;数值越大,则表示颜色差异越大。
色差△E值的单位:
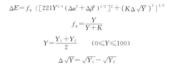
作为色差的计算单位,以前常用NBS表示,这一色差单位是以贾德(Judd)—亨特(Hunter)建立起来的色差计算公式的单位为基础推出来的,贾德最先建立起UCS色度图,这个色度图在很长一段时间内是美国色度计算的基础,然而在三角坐标中处理很不方便,后来斯科菲尔德(Scofeld)—贾德—亨特把它转换成了a—β色度图,该系统与x—y色度坐标之间的转换关系为:

利用这一色度坐标可按下式计算色差。

式中:K——光泽影响系数,测定纺织品时,K=10(受观测条件的影响)。一般在普通实验室中,有光泽的面取K=2.5,无光泽的面,取K=0,半光泽的面,取K=1。fg——调整系数。
用这一色差式计算的色差单位为NBS单位,NBS单位曾被作为所有色差计算公式的单位,并且延续了很长一段时间。20世纪70年代以后,大量色差式相继出现,一律采用相同的标准计算单位既不可能,也没有必要。所以,就采取了标注计算公式的方法。如△ECMC、△ECIE等,不再使用NBS单位。
色差△E值的范围:
1.△E*ab<0.5:在这个范围内,颜色差异非常小,几乎难以用肉眼察觉。
2.0.5≤△E*ab<1.5:颜色存在轻微差异,经过仔细观察或对比才能发现。
3.1.5≤△E*ab<3:此时颜色差异比较明显,肉眼可以轻易辨别。
4.3≤△E*ab<6:颜色差异较大,不同颜色之间的区别很显著。
5.△E*ab≥6:颜色差异极大,两种颜色看起来完全不同。
需要注意的是,不同行业和具体应用对色差值的可接受范围可能会有所不同,以上只是一般性的参考范围。

