分光测色仪在进行颜色量化时,可以比较色样与标样之间的颜色差异,并经过仪器内置的色差公式给出具体的色差值。本文对分光测色仪色差计算中几个常用色差公式计算式做了介绍,对此感兴趣的朋友不妨了解一下!

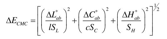
ΔE*cmc色差公式:
CMC(l:c)色差公式在修正CIELAB色差公式的基础上,根据视觉关系调整了每个色调方向的色差椭圆大小和形状;改善了彩度差变化与明度之间的关系,使不同彩度的颜色具有不同的色差容限。非彩色区域附近的椭圆较小,彩度高的椭圆较大,色差容限与彩度的变化成正比。它引入了明度权重因子l彩度权重因子c,能够解决暗色和中性色区域的色差结果计算与人眼测量结果相差较大的问题,适应不同的色差需求。其表达式为:

式中:△L*、△C*ab、△H*ab由CIE1976LAB色差公式计算得到,SL、SC、SH分别为明度、彩度和色调加权函数,用于调整不同明度、不同彩度和不同色调对色差的贡献大小。l和c为参数因子,用于调整不同的观察条件对色差的影响大小。l、c值的选用:对色差的“可觉察性”目视鉴定资料,可取l=c=1。而对色差的“可接受性”目视鉴定资料,则可取l=2、c=1。
ΔE*94色差公式:
CIE94色差公式是CIE于1955年推荐的一个色差公式,其全称为“CIE1994(△L*△C*ab△H*ab)色差模型”,正式缩写形式是CIE94,色差符号为△E*94。△E*94色差公式是CMC(1:c)色差公式的一种改良形式,其结构与ΔE*CMC(l:c)色差公式相似的公式,该公式的计算式如下所示:

式中ΔL*,△C*ab,△H*ab分别表示两种颜色间的明度差、彩度差和色相差。参数因子KL,KC,KH可根据不同的评价对象和评价条件选择不同数值,参考条件下的参数因子数值均为1。当观察条件改变时,可以对各参数进行单独改变以适应视觉上每个颜色分量(明度、彩度、色相)的变化。
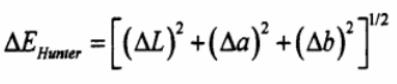
ΔE(Hunter)色差公式:
Hunter色差公式是由亨特(Hunter)为使光电色度计读数方便,而于1948年提出的Lab对抗色系统中计算色差的公式,大多用于陶瓷、塑料和纺织品等,一般可满足工业生产管理的需要。在该系统中,L表示物体反射光的明度,a表示反射光中红色与绿色的成分,b表示反射光中黄色与蓝色的成分。因此,Lab系统的色差公式可表示为:

式中:△L、△a、△b分别为两个物体表面色的明度差和色品坐标差。
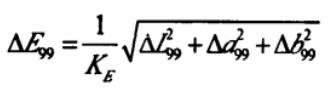
DIN99色差公式:
DIN99匀色空间是由DIN99色差公式经过三次修正(分别为DIN99b、DIN99c、DIN99d)建立的。DIN99公式就其对小色差的预测而言,没有CIEDE2000的预测效果好,但它建立了相应的色空间。在此空间里,用BFD-P和RIT-DuPont数据集得出的实验椭圆比CIELAB的实验椭圆大大改进。DIN99匀色空间现已被德国选为工业标准,并向CIE推荐希望使其能成为国际标准。其色差公式如下:

DINΔE99色差公式基于CIELAB颜色空间,由德国标准化学会(DIN)提出。它对CIELAB颜色空间下的色差计算进行了改进,旨在减少在不同颜色区域的计算误差,更好地匹配人眼对颜色差异的感知。具体公式包含了对明度、彩度和色调差异的修正计算。优点是在德国及一些欧洲工业标准中被采用,对于符合其标准要求的颜色评估具有较好的准确性和一致性。缺点是应用范围相对局限于遵循德国及相关欧洲标准的行业和领域,通用性不如一些国际广泛认可的公式。

