在印刷产品的质量管控过程中,会涉及到印刷密度和网点密度的管控。印刷密度反映印刷品墨层浓淡的光学指标,密度越大颜色越厚重。网点密度指网点区域的墨色深浅,决定网点还原质量。那么,彩色密度仪怎么测印刷密度和网点密度?本文对印刷密度和网点密度测试方法做了介绍。

印刷密度测量方法:
墨层厚度和密度之间有着密切关系,墨层的吸收特性取决于油墨色调、墨层厚度和油墨色料的性质和密度。基本上,当墨层厚度逐渐增加时,密度亦随之上升,但当墨层厚度到达一定限度时,色彩开始饱和,密度亦不能再往上升。密度测量分透射密度测量与反射密度测量,反射密度测量和透射密度测量公式如下:
1.反射密度测量公式
假设入射光通量为φo,反射光通量为φf,入射光通量和反射光通量的比值是固定的,则比值为F,称为反射率。则反射率F=φf/φo,反射密度=log1/F.
2.透射密度测量公式
假设假设入射光通量为φo,反射光通量为φt,透射光通量和入射光通量的比值是固定的,其比值称为透射率,记作T。则透射率T的表达公式是:T=φt/φo。
透射密度的定义是以10为底的透射系数T倒数的对数。它的实际含义是指透射光通量与入射光通量比值的倒数再取以10为底的对数。设透射密度为D,透射率为T,则透射密度用公式表达是:D=lg1/T。
网点测量方法:
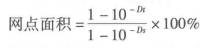
当油墨从半色调印版移印于印刷材料时,因为压力的存在而令网点面积增大,若网点面积增大4%-5%时,灰度和各色彩的平衡都会受到一定的影响。网点增大可分为两种:机械网点增大及光学网点增大。机械网点增大受很多因素影响,例如油墨、润版液、橡皮布、纸张表面状况等。光学网点增大的主要原因是由于折射光使网点的表观面积增大。密度仪使用玛雷·戴维斯公式自动计算网点面积与增大情况,因为人目视只能看到表面的网点增大,所以玛雷·戴维斯公式同时考虑机械与光学的网点增大。具体测量公式如下:

其中,Dt为网点密度减去纸张密度,Ds为实地密度减去纸张密度。

