CIEL*a*b*和CIEL*u*v*颜色空间是CIE规定的用于颜色量化分析的均匀颜色空间,这两个颜色空间都是在CIEXYZ颜色空间的基础上,通过非线性的转换关系得到的。本文对CIEL*a*b*、CIEL*u*v*和CIEXYZ的转换关系做了介绍。

CIEL*a*b*和CIEL*u*v*颜色空间介绍:
CIEL*a*b*和 CIEL*u*v*颜色空间是一种均匀的颜色模型。均匀颜色空间模型本质上仍是面向视觉感知的颜色模型,只是在视觉感知方面更为均匀。从视觉感知均匀的角度来说,人所感知到的两种颜色的距离应该与这两种颜色在表达它们的颜色空间中的距离越成比例越好。换句话说,如果在某一颜色空间中,人所观察到的两种颜色的区别程度与该颜色空间中两点间的欧氏距离相对应,则称该空间为均匀的颜色空间。
CIEL*a*b*和CIEL*u*v*颜色空间均是基于对立色理论和参考白点,其 CIEL*u*v*颜色模型与设备无关,适用于显示器显示和根据加色原理进行组合的场合,该模型中比较强调对红色的表示,即对红色的变化比较敏感,但对蓝色表示的比较粗糙。CIEL*a*b*颜色模型亦与设备无关,适用于接近自然光照明的场合,该模型比较强调对绿色的表示(对绿色比较敏感),其次是红色和蓝色。对CIEL*a*b*颜色空间和CIEL*u*v*颜色空间而言,完全可以用欧氏距离来测量颜色之间的差别,而且,这两个颜色空间不仅是同一性空间,而且人眼对这两个空间的亮度分量L*敏感,对a*,b*分量和u*、v*分量的变化不甚敏感。
CIEL*a*b*、CIEL*u*v*和CIEXYZ的转换关系:
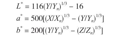
CIEL*a*b*和CIEL*u*v*颜色空间在CIE1931年公布的XYZ空间的基础上得到的。在CIEL*a*b*颜色空间中,柱坐标 L*表示亮度,a*和 b*轴代表色度坐标,分别是红-绿坐标和黄-蓝坐标,这三个坐标值均被认为是均匀变化的。这三个属性值可以由XYZ颜色空间的三个属性转化而来。转换公式如下:

其中,在上面的公式中,X、Y、Z 指的是物体的三刺激值,这三个属性值是在海明对立坐标理论的基础上建立起来的。Xn、Yn、Zn表示的是CIE 标准照明体先照射在完全反射漫反射体上,再经其反射到人们眼中的白颜色物体的三刺激值。光源和观察者的条件分别以D65和10°条件为佳。在不同的光源以及观察者条件下,三刺激值是不同的。若采用D65标准照明体X0=94.811,Y0=100.00,Z0=107.304。
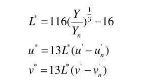
CIEL*u*v*颜色空间与CIEL*a*b*颜色空间相似,L*,u*,v*是X,Y,Z通过非线性变换得到的,同样用两点间的距离表示颜色之间的色差。从CIEXYZ颜色空间到CIELuv颜色空间的转换,可以利用下列公式来完成:

其中:u'=4X/(X+15Y+3Z),v'=9X(X+15Y+3Z),(Xn、Yn、Zn)定义为参考白色的对应值,u'n和v'n定义为参考白色的转换值,它们的定义可以参照u'和v'的定义方式。

