CIELab颜色空间是色度学规定的用于颜色测量的均匀颜色空间,它是由CIEXYZ颜色空间线性转换来的一个颜色空间,可以从三个维度对颜色进行描述,在表示色差时与人眼之间具有较好的一致性。本文对CIELab颜色空间及CIELab与CIEXYZ的转换关系做了介绍。

CIELab颜色空间介绍:
CIELab颜色空间直接基于CIEXYZ颜色空间建立,使用MacAdam椭圆描述颜色差异,并由此建立了线性化的人眼视觉对颜色的视觉感知空间,是一种比 CIEXYZ颜色空间更线性、更直观的颜色空间,也就是说颜色空间上相同数量的变化会产生大约相同视觉重要性的变化"。和其他颜色空间一样,CIELab颜色空间中每一点代表一种颜色,两种颜色的差异就是其在该颜色空间中的距离,但不同的一点是在CIELab颜色空间中相同颜色距离代表了相同的人眼视觉对色差感知大小,因为L,a和b的非线性关系较好地模拟了人眼视觉在该颜色空间中的非线性响应。CIELab颜色空间中的数值能够完全表达人眼视觉所能看到的所有颜色,也有很多“颜色”超出了人类视觉的视域",CIELab颜色空间中的L分量与人类亮度感知密切配合,用于调整亮度对比,取值范围是[0,100],表示从纯黑到纯白(L=0 表示黑色而L=100表示白色);色度a、b与色调饱和度的感觉相一致,a表示从红色到绿色的范围(负值表示绿色而正值表示品红),取值范围是[127,-128];b表示从黄色到蓝色的范围(负值表示蓝色而正值表示黄色),取值范围是[127,-128]。可以通过修改a和b分量对颜色做精确平衡。如下图所示为CIELab颜色空间。

如上图所示,在明度相同的ab平面上,从坐标角度看,a大于0时为红色方向,值越大时越红,a小于0时为绿色方向,值越小时越绿,在a的方向上,从左到右是从深绿到灰色,再到红色(亮粉色)的过程;同理当b大于0时为黄色方向,值越大时越黄,b小于0时为蓝色方向,值越小则越蓝,在b的方向上,三维中从前到后颜色变化时从亮蓝到灰色,再到黄色的过程;L表示的是颜色的亮度,L越大则越亮,反之,越小则越暗。从CIELab 模式的概念中可以知道,三维坐标的中间过渡部分均为灰色,而这个灰色是在各色亮度较低的情况下的过渡色。这是本课题中用于配色方案修正的理论基础,对于不满足色差需求的配色方案,分别通过判断L,a和b的值进行配色比例的调整,也就是说该颜色空间为配色方案的修正提供了理论依据。
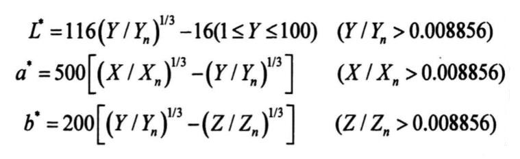
CIELab颜色空间与CIEXYZ颜色空间的转换关系:
在CIEXYZ颜色空间中可知光谱功率分布和人眼感知颜色情况,但该颜色空间无法表达人眼对颜色差别的视觉感知。而CIELab颜色空间的建立就很好的解决了这一问题,该颜色空间模拟人眼视觉对颜色差别的感知情况,能够较好的表达人眼对色差的视觉感知。CIELab颜色空间是在 CIEXYZ颜色空间基础上建立的,比CIEXYZ颜色空间更加线性,即在该颜色空间中相同大小的颜色距离会引起相同的人眼视觉感知的变化,且能采用数据准确表达人眼视觉对颜色差异的感知情况,因而本文基于计算机视觉的皮革测配色中就采用 CIELab颜色空间进行色差计算和配色效果的评价。由CIEXYZ到CIELab颜色空间的转换公式如下式所示:


