RGB颜色空间是以红、绿、蓝为基色,其余的颜色通过调整这三种颜色的比例而获得,该空间也称为三基色模式。RGB颜色空间的颜色信息包含于R、G、B这三个分量,因此表示待测目标的颜色与标准颜色的差异就需要结合三个分量进行距离计算。本文对RGB颜色空间色差公式形式及不同形式的优缺点做了介绍。

RGB颜色空间RGB色差公式:
RGB颜色空间中两个颜色以两者之间的空间距离作为色差值,假设两个坐标分别为xi=(ri、gi、bi)和xj=(rj、gj、bj),两者之间的色差为:

该式表示的色差值是通过两个颜色的空间距离来体现的。因此若要使结果正确,则必然要求RGB颜色空间是一个均匀的颜色空间,即每个颜色的等色差颜色应在RGB颜色空间中成一个球面,且不同位置的等色差颜色对应该表现出相同的差异。但是这种情况在整个RGB颜色空间中并不成立,直接以空间距离表示的色差不符合人的视觉感受。
RGB颜色空间RGB加权色差公式:
由于RGB颜色空间不是均匀颜色空间,按照空间距离得到的色差并不完全符合人的视觉,在实际应用时经常采取给各颜色分量加上一定权值的办法,如下式所示:

式中,wr、wg、wb是加权系数,多数文献中(wr、wg、wb)取值为(3,4,2)。
由于RGB颜色空间的不均匀,相关人员试图通过加权的方式来解决这个问题。权值的定义是根据人眼对红、绿、蓝三原色敏感程度的不同。通过调整RGB颜色空间,部分补偿其非均匀性。在以往文献中,关注的重点大多集中于所处理的某类简单图像,以至于加权系数各种各样。并且由于RGB三个分量的不独立性,三个坐标轴上的色差规律并不能简单地推广到整个颜色空间。另外算法的改进程度也是有限的,各种实验结果也证明了并非各种加权算法总是优于非加权算法。
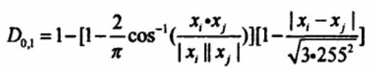
RGB颜色空间RGB角距离色差公式:
RGB空间任意两个颜色,坐标分别为xi=(ri、gi、bi)和xj=(rj、gj、bj),其色差定义为:

该色差公式考虑了待比较颜色间的角度差,实验证明它比上面两个色差公式对RGB色差的度量有一定的改善,但是效果也不够理想。

