CIELab、CIELuv是色差仪常见的测色空间,是通过CIEXYZ颜色空间通过非线性转换得到的均匀颜色空间,对于它们之间的转换关系式,许多的用户不是很清楚。本文对色差仪CIELab、CIELuv与CIEXYZ空间转换关系做了介绍,感兴趣的朋友不妨了解一下!

色差仪CIELab与CIEXYZ空间转换关系:
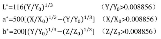
CIELab颜色空间是CIE1976L*a*b*均匀颜色空间的简称。CIELab均匀颜色空间是CIEXYZ标准色度学系统的非线性变换,它将XYZ直角坐标颜色空间转换为柱面极坐标,将三刺激值XYZ转换成与眼睛视觉相一致的明度L*和色度a*、b*,其中a*、b*与色调、饱和度的感觉相一致。CIEL*a*b*与CIEXYZ的非线性转换关系分为两种情况,分别如下所示:
1.当X/X0或Y/Y0或者Z/Z0大于0.008856时

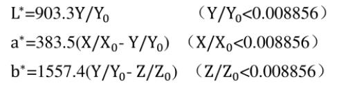
式中:X、Y、Z为颜色样品的三刺激值(三色系统中,与带测光达到色匹配所需的三种原刺激的值);X0、Y0,Z0为CIE标准照明体的三刺激值(D65光源:X0=95.05、Y0=100.00、Z0=108.91)。L*称为心理计量明度,简称心理明度或明度指数:a*、b*称为心理计量色度,简称心理色度或色度参数。
2.X/X0或Y/Y0或者Z/Z小于0.008856时

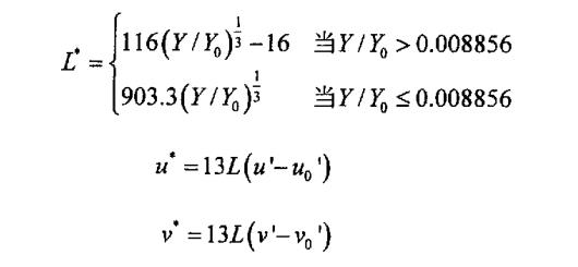
色差仪CIELuv与CIEXYZ空间转换:
CIELuv颜色空间是CIE1976L*u*v*均匀颜色空间的简称,CIELuv颜色空间与CIELAB颜色空间相似,L*,u*,v*是X、Y、Z通过非线性变换得到的,L*为明度,u*、v*为色品指数。三者相互垂直构成色空间来描述相对应的亮度和色度量:垂直的轴是明度L*,位于水平面且互相垂直的是色品指数u*和 v*。三个刺激量X,Y,Z到CIELuv颜色空间的转换公式如下:

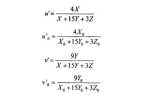
变量u',v'和u'0,v'0可以从下式得出:

X0、Y0、Z0为标准白光所对应的XYZ值。CIELuv颜色空间比较强调对红色的表示,即对红色变化比较敏感,但对蓝色表示得比较粗糙。

